18luck

ÏßÀÂ×ÊѶ

ÄúÄ¿½ñµÄλÖãºÊ×Ò³ > ÐÂÎÅ×ÊѶ > ÏßÀÂ×ÊѶ

2500WµÄ×°±¸£¬ÓÃ1ƽ·½µÄµçÏßÐв»¿É£¿

ʱ¼ä£º2023-11-24ä¯ÀÀ£º

ÔÚÎÒÃÇÊÂÇéÖо­³£Óöµ½ÐèҪƾ֤Óõç×°±¸¹¦ÂÊÀ´Ñ¡ÔñµçÏß¾Þϸ£¬ËäÈ»²»ÄÑ£¬¿ÉÊÇÓÐÐí¶àÅóÙ­ÒÀÈ»²»ÖªµÀÔõôÏêϸ¸ÃÅÌËã¡£ÕâÀïÀ´¸ú¸÷ÈË·ÖÏíÒ»ÏÂÔõÑùƾ֤¹¦ÂÊÑ¡ÔñµçÏß¾Þϸ¡£

µÚÒ»²½£¬Æ¾Ö¤¹¦ÂÊÅÌËãµçÁ÷¾Þϸ

ƾ֤¹¦ÂÊÅäÏߣ¬µÚÒ»²½¾ÍÊÇÏÈÆ¾Ö¤¹¦ÂÊÅÌËã³öµçÁ÷¾Þϸ£¬ÓÉÓÚµçÏß¾ÞϸÖ÷Ҫȡ¾öÓÚµçÁ÷¾Þϸ¡£ÄÇôµçÁ÷¾Þϸ¸ÃÔõÑùÅÌËãÄØ£¿

µ¥ÏàÅÌË㹫ʽ£º

18ÐÂÀûluck¡¤(Öйú)-¹Ù·½ÍøÕ¾

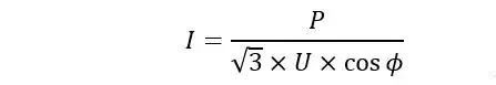
ÈýÏàÅÌË㹫ʽ£º

18ÐÂÀûluck¡¤(Öйú)-¹Ù·½ÍøÕ¾

ÆäÖУº

IÌåÏÖµçÁ÷£»PÌåÏÖÓй¦¹¦ÂÊ£»UÌåÏÖµçѹ£»
cos¦µÌåÏÖ¹¦ÂÊÒòÊý£¬×èÐÔ¸ºÔØcos¦µ=1£¬¸ÐÐÔ¸ºÔØcos¦µ=0.8

¾Ù¸öÀý×Ó£º2500WµÄµ¥ÏàµçÈÈË®ºø£¬ËüµÄ¶î¶¨µçÁ÷ÊǼ¸¶àÄØ£¿

18ÐÂÀûluck¡¤(Öйú)-¹Ù·½ÍøÕ¾

ÔپٸöÀý×Ó£º2500WµÄÈýÏàµç»ú£¬ËüµÄ¶î¶¨µçÁ÷ÊǼ¸¶à£¿

18ÐÂÀûluck¡¤(Öйú)-¹Ù·½ÍøÕ¾

ƾ֤¹«Ê½ÅÌËãºÜƶÀ§£¬Ò²ÈÝÒ×ÍÉ»¯£¬ÄÇôÓÐûÓиüÇáÓ¯µÄÒªÁìÄØ£¿ËäÈ»ÓУ¬ÎÒÃÇÒ²¿ÉÒÔÆ¾Ö¤ÂÄÏòÀ´¹ÀËãµçÁ÷´óС£º

220V×èÐÔ¸ºÔØ£¬1KWԼĪ4.5AµçÁ÷£»220V¸ÐÐÔ¸ºÔØ£¬1KWԼĪ5.6AµçÁ÷
380V×èÐÔ¸ºÔØ£¬1KWԼĪ1.5AµçÁ÷£»380V¸ÐÐÔ¸ºÔØ£¬1KWԼĪ2.0AµçÁ÷


µÚ¶þ²½£¬Æ¾Ö¤µçÁ÷¾ÞϸѡÏß

ƾ֤µçÁ÷¾ÞϸѡÏßÒ»Ñùƽ³£ÓÐÁ½ÖÖ·½·¨£¬µÚÒ»ÖÖÊÇͨ¹ý²é±í£¬µÚ¶þÖÖÊÇͨ¹ý¿Ú¾÷¹ÀËã¡£²é±í»ñµÃµÄÊý¾Ý½ÏÁ¿×¼È·£¬ÊÊÓÃÓÚ´óÅúÁ¿ÅäÏß»òÕß´óµçÀ¡£Í¨¹ý¿Ú¾÷¹ÀËãÒ»Ñùƽ³£ÊÊÓÃÓÚ¶Ô½ØÃæ»ýÒªÇó²»ÑÏ¿áµÄÇéÐΡ£

ºÃ±Èij¹«Ë¾´óÅúÁ¿Éú²úµç·¹ìÒ£¬Òª¸øµç·¹ìÒÅäµçÔ´Ïß¡£¼ÙÉè0.75ƽ·½µÄÍ­Ïß¾ÍÄÜÖª×ãÒªÇó£¬ÈôÊǽÓÄÉ1ƽ·½Í­ÏßËäȻҲÄÜʤÈΣ¬¿ÉÊÇ»áÔöÌíÐí¶à±¾Ç®¡£Í¬ÑùÈôÊÇÎÒÃÇÒª¸øÄ³Ò»Ì¨»úеÅäÏߣ¬¼ÙÉè1ƽ·½Í­ÏßÄÜÖª×ãÒªÇ󣬿ÉÊÇÎÒÃǽÓÄÉ1.5ƽ·½µÄÍ­Ïߣ¬ÕâҲδ³¢²»¿É¡£

ÕâÀïÎÒ¾ÍÒÔ²é±íÑ¡µçÏß¾ÞϸΪÀý£¬Èçͼ

18ÐÂÀûluck¡¤(Öйú)-¹Ù·½ÍøÕ¾

ÉÏͼÊǾÛÂÈÒÒÏ©¾øÔµµçÏß Ã÷Ïß×°ÖÃÔØÁ÷Á¿£¨Êý¾ÝȪԴÓÚ¡¶¹©ÅäµçÉè¼ÆÊֲᡷ£©

¡°¾ÛÂÈÒÒÏ©¾øÔµµçÏß¡±Ò²½Ð¡°BVÏß¡±£¬Ò²¾ÍÊÇÎÒÃdz£ËµµÄ¡°ËÜÁÏÓ²Ïß¡±¡£ÈôÊÇÒÔΪͼƬÓÐÓ㬽¨Òé¸÷ÈË¿ÉÒÔ°ÑͼƬÉúÑĵ½ÊÖ»úÀ»òÕßÊÕ²ØÕâÆªÎÄÕ£¬Ê¡µÃÒÔºóÐèÒªµÄʱ¼äÕÒ²»µ½¡£

18ÐÂÀûluck¡¤(Öйú)-¹Ù·½ÍøÕ¾

ÉÏͼÊǾÛÂÈÒÒÏ©¾øÔµ¾ÛÂÈÒÒÏ©»¤Ì×µçÀ Ã÷Ïß×°ÖÃÔØÁ÷Á¿£¨Êý¾ÝȪԴÓÚ¡¶¹©ÅäµçÉè¼ÆÊֲᡷ£©

¡°¾ÛÂÈÒÒÏ©¾øÔµ¾ÛÂÈÒÒÏ©»¤Ì×µçÀ¡±Ò²½Ð¡°RVVµçÀ¡±£¬Ò²¾ÍÊÇÎÒÃdz£ËµµÄ¡°»¤Ì×Ïß¡±¡£

´Ó¸Ã±í¸ñ¿ÉÒÔ¿´³ö£¬0.75ƽ·½µÄÁ½Ð¾»¤Ì×ÏßÔÚ³£Î£¨35¡æ£©ÏµÄÇå¾²ÔØÁ÷Á¿Îª12A£»1ƽ·½µÄÁ½Ð¾»¤Ì×ÏßÔÚ³£Î£¨35¡æ£©ÏµÄÇå¾²ÔØÁ÷Á¿Îª14A¡£


×ܽá

¹ØÓڶµçѹ220V¡¢¹¦ÂÊ2500ÍßµÄÓõç×°±¸£¬ÈôÊǽÓÄÉ»¤Ì×Ïß¹©µç£¬ÄÇô1ƽ·½´ó½ØÃæ»ý×ãÒÔ£»Ä³Ð©ÔÓÅÆµÄÓõç×°±¸£¬Ò²ÓпÉÄܽÓÄÉ0.75ƽ·½µÄ»¤Ì×Ïß¡£

18ÐÂÀûluck¡¤(Öйú)-¹Ù·½ÍøÕ¾

×¢ÖØ£º¹ØÓÚ¼ÒÍ¥×°ÐÞ»òÆäËûÅäÏߣ¬ÎÒÃÇ»¹Òª°´Ïà¹Ø¹æ·¶Ö´ÐС£ºÃ±È¼Ò×°¹æ·¶ÒªÇó²å×ù±ØÐè½ÓÄÉ2.5ƽ·½ÒÔÉÏÍ­Ïߣ¬ÕÕÃ÷±ØÐè½ÓÄÉ1.5ƽ·½ÒÔÉϵÄÍ­Ïß¡£ÒÔÊÇÔÚ¼Ò×°Ê©¹¤ÖУ¬²å×ù»ØÂ·²»¹ÜÓõ缸¶à£¬¶¼Òª½ÓÄÉ2.5ƽ·½ÒÔÉϵÄÍ­Ïß¡£


¡¾ÃâÔðÉùÃ÷¡¿±¾ÍøÕ¾ËùÍøÂçµÄ²¿·Ö×ÊÁÏȪԴÓÚ£ºµçÀ±¦Íø£¬×ªÔسöÓÚת´ïºÍ·ÖÏí¸ü¶àÐÅϢ֮ĿµÄ£¬²¢²»ÁÏζ×ÅÔÞÐíÆä¿´·¨»ò¶ÔÆäÄÚÈÝÕæÊµÐÔÈÏÕæ£¬ÎÄÕ½ö¹©²Î¿¼¡£Èç±¾ÍøÕ¾×ªÔØÄÚÈÝÉæ¼°°æÈ¨µÈÎÊÌ⣬ÇëËÙÓëÎÒÃÇÈ¡µÃÁªÏµ£¬ÎÒÃǽ«ÊµÊ±Ð޸Ļòɾ³ý¡£

Copyright © 2019 18luck      ¹ÉƱ´úÂë 002882       ±¸°¸ºÅ£ºÔÁICP±¸11090664ºÅ-2

ÍøÕ¾µØÍ¼