18luck

线缆资讯

Current Location:Home > 新闻资讯 > 线缆资讯

什么是电缆截面的经济化?

时间:2024-09-29浏览:

国际电工委员会标准IEC 287-3-2/1995提出了电缆尺寸即导体截面经济******化的看法:电缆导体截面的选择,不但要思量电缆线路的初始本钱,并且要同时思量电缆在经济寿命时代的电能消耗本钱,应切合使两项本钱之和为最低的原则 。用数学式体现即

CT=CI+CJ

式中,CT为总本钱;CI为初始投资本钱;CJN年经济寿命时代焦耳消耗的现值,即按贴现率(i)换算成现值盘算 。切合电缆导体截面经济******化的称作经济导体截面,可以通过盘算获得 。

凭证电缆绝缘最高允许温度和载流量确定的截面现实上是最小允许导体截面 。这时间仅盘算初始投资,而没有思量电缆在经济寿命时代的导体消耗用度 。若是增大导体截面,线路消耗用度镌汰,初始投资增添 。但加大导体截面所增添的这部分初始投资,可以从恒久运行时代降低的电缆消耗中获得赔偿,从而可降供电总本钱,提高电力部分的经济效益 。

接纳经济导体截面,电缆运行温度要比电缆绝缘允许最高温度低得多,这样可延伸电缆线路的使用寿命,提高电缆供电的清静性 。

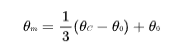
 IEC 287-3-2/1995指出,通常应取电缆运行温度与平均情形温度之温度差,即是电缆允许最高温度与平均情形温度之温度差的1/3

 18新利luck·(中国)-官方网站

 

例如,交联聚乙烯电缆允许最高温度为90℃,设平均情形温度为24℃,则其运行温度应是

 18新利luck·(中国)-官方网站

 

知足此运行温度的电缆截面,即切合经济******化的原则 。凭证盘算,经济导体的截面应比最高允许温度所确定的截面标准上放大2个层次 。例如,若按最高允许温度所确定的截面是120平方毫米,经济导体截面应取185平方毫米 。

Copyright © 2019 18luck      股票代码 002882       Record No:粤ICP备11090664号-2

网站地图